August 1, 2025
By Erica Barclay, OD
Refractive error and axial length are two main metrics used to evaluate and monitor myopia in children. Whilst inaccuracies in refractive error measurement may arise due to subjective elements, clinician variability and/or overestimation of myopia without the use of cycloplegia,1 axial length (AL) measurement is a more repeatable, reliable and sensitive way of tracking myopia progression.2
What are percentile curves?
Percentile curves have long been used for the comparison of children’s height against their peers. More recently researchers have applied this concept to the comparison of axial length. Percentile rankings denote the percentage of values which fall below a particular score—e.g. 30th percentile refers to a value where 30% of peers score below, and 70% score above.3
Generation of percentile curves
Refraction percentile curves have been generated for multiple cohorts, including for Chinese4 and German5 children. However, their clinical application may have limitations given the variability of refractive data due to the inaccuracies previously described.
Age, gender and ethnicity explain some variability in AL.2 As such, multiple percentile curves are required to reflect different cohorts of children and have clinical relevance to different groups.
Results for Chinese children
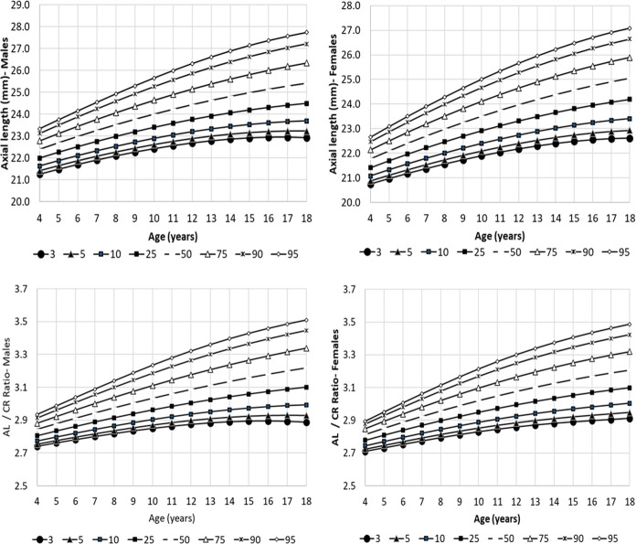
Normative data and percentile curves for AL and axial length/corneal radius curvature (AL/CR) in Chinese children aged 4–18 years have been generated based on cycloplegic autorefraction and AL measurements of 14,127 participants from three retrospective studies.2 Shorter AL, steeper corneal curvature and higher myopic refractive error were noted in females. For both AL and AL/CR percentiles, the spread of values can be seen to increase with age.2
Figure 1: Age/sex specific AL and AL/CR percentile curves for Chinese children (male left, female right).2
Logistic modelling found that AL/CR percentiles were more accurate than AL percentiles in diagnosing myopia across all age groups. AL/CR is a ratio which characterizes the relationship between eye length and corneal shape, and this relativity allows better correlation with refractive error than AL alone (given myopia can occur in both long and short eyes).6 An AL/CR value greater than three is a key indicator for the presence of myopia.6
However, a model that considered both AL and AL/CR showed the best capability in determining myopia (sensitivity 87.4%, specificity 88.2% in 5-18yo).2 The 95% CI for any individual estimation of SE would be within ±1.78D.2
Figure 2: Probability of myopia prevalence by age and both AL & AL/CR percentiles in (A) males and (B) females.2
The AL and AL/CR profiles noted above are similar to those generated in a separate cohort study of Chinese children.7 AL/CR percentiles exist for other ethnic groups including Indian8 and European children.9
Results for European Children
AL percentile curves for European children have been generated using 12,386 participants from three population-based studies in the U.K. and Netherlands,9 with notably shorter ALs than Chinese children.
Figure 3: AL percentile curve for European children (male left, female right), with associated risk of adult myopia.7
Researchers who developed AL growth curves for children in the Netherlands9,10 asserted that children ranking in the 75th percentile or above were at risk of high myopia, which clinically warrants more aggressive myopia control interventions.10 Risk of high myopia in children below the 75th percentile was considered low enough to be managed with less aggressive interventions to the benefit of lesser side effects.10
Utilization in myopia control
A child’s percentile rank can be used to predict risk of myopia/high myopia in adulthood and is an additional tool clinicians can use to help identify children who would benefit most from initiating myopia control. In European populations, AL percentiles above the median have >50% risk of adult myopia. The risk for Chinese children above median is >95%.2
Additionally, a reduction in AL percentile ranking following the commencement of myopia control could been seen as a positive indication regarding the effectivity of treatment (although not the definitive measure of success).11
Limitations to application
Whilst percentile charts are no doubt a helpful tool in managing myopic children, one noted limitation is they underestimate “normal” growth expected in myopic eyes. Myopic growth curves are steeper than those of emmetropes. However, when percentile curves are calculated, myopic and emmetropic growth patterns are blended.11
Consequently, when separate myopic and emmetropic growth curves are overlaid on percentile curves, it was found that lower percentile curves accurately reflected emmetropic eye growth. However, the trajectories of higher percentile curves (which would be expected to have a higher proportion of myopes) were significantly flatter than myopic eye growth curves.11 Therefore, the average axial elongation in myopic children is underestimated, and this has implications for evaluating the success of myopia control interventions. If a child undergoing myopia control remained aligned with their original (higher) percentile curve, this could be interpreted as there being no impact on axial growth rate. However, when compared to the true higher myopic growth rate, a reduction may be seen.11,12
An alternate way in which AL data could be used is by plotting the rate of axial elongation (mm/year). This would highlight three distinct patterns between emmetropes, existing myopes and incident myopes that is not captured by percentile curves.11 Incident myopes demonstrate a rapid increase in axial elongation rate just prior to becoming myopic,11 and observing this change would be a compelling indicator to commence myopia control without refractive myopia necessarily being reached.
Figure 4: Demonstration of difference in annual axial elongation for myope, emmetrope and incident myope.11
Conclusion
In summary, AL percentile curves may offer additional insight into the projected myopia outcomes of children, bearing in mind the aforementioned limitations to clinical application. Percentile data forms part of the toolkit in better identifying those at greatest risk and tailor myopia control interventions accordingly.
References
- Sankaridurg P, He X, Naduvilath T, Lv M, Ho A, Smith E, 3rd, et al. Comparison of noncycloplegic and cycloplegic autorefraction in categorizing refractive error data in children. Acta Ophthalmol. 2017;95(7):e633-e40.
- He X, Sankaridurg P, Naduvilath T, Wang J, Xiong S, Weng R, et al. Normative data and percentile curves for axial length and axial length/corneal curvature in Chinese children and adolescents aged 4-18 years. Br J Ophthalmol. 2023;107(2):167-75.
- Eldridge S. Percentile: Brittanica; 2025 [Available from: https://www.britannica.com/topic/histogram.
- Chen Y, Zhang J, Morgan IG, He M. Identifying Children at Risk of High Myopia Using Population Centile Curves of Refraction. PLoS One. 2016;11(12):e0167642.
- Truckenbrod C, Meigen C, Brandt M, Vogel M, Wahl S, Jurkutat A, et al. Reference curves for refraction in a German cohort of healthy children and adolescents. PLoS One. 2020;15(3):e0230291.
- Ip JM, Huynh SC, Kifley A, Rose KA, Morgan IG, Varma R, et al. Variation of the contribution from axial length and other oculometric parameters to refraction by age and ethnicity. Invest Ophthalmol Vis Sci. 2007;48(10):4846-53.
- Sanz Diez P, Yang LH, Lu MX, Wahl S, Ohlendorf A. Growth curves of myopia-related parameters to clinically monitor the refractive development in Chinese schoolchildren. Graefes Arch Clin Exp Ophthalmol. 2019;257(5):1045-53.
- Gopalakrishnan A, Sivaraman V, Hussaindeen JR, Swaminathan M, Gentle A, Armitage JA, et al. Ocular Biometry Percentile Curves and Their Relation to Myopia Development in Indian Children. J Clin Med. 2024;13(10).
- Tideman JWL, Polling JR, Vingerling JR, Jaddoe VWV, Williams C, Guggenheim JA, et al. Axial length growth and the risk of developing myopia in European children. Acta Ophthalmol. 2018;96(3):301-9.
- Klaver C, Polling JR, Erasmus Myopia Research G. Myopia management in the Netherlands. Ophthalmic Physiol Opt. 2020;40(2):230-40.
- Bullimore MA, Cheng X, Brennan NA. The limitations of centile curves for evaluating myopic eye growth. Optom Vis Sci. 2025.
- Chamberlain P, Lazon de la Jara P, Arumugam B, Bullimore MA. Axial length targets for myopia control. Ophthalmic Physiol Opt. 2021;41(3):523-31.


